| veliki.com.ua/electro_bikes/order=price/ |

Начать новую тему Ответить на тему На страницу Пред.  1, 2, 3, Bce
Автор Сообщение
СообщениеДобавлено: 23.09.2017 13:24 
Аватара пользователя

Сообщения: 271
Изображения: 11
Город: Харьков
Пол: Муж
Зарегистрирован:21.08.2014
Я сошел! Первый в моей практике сход. :sad:
Лопнул подседел, напоролся ногой на острый край, но вроде обошлось малой кровью! Эвакуируюсь автобусом.


Вернуться к началу
shoppage  personalpage P Персональный альбом  
 
СообщениеДобавлено: 23.09.2017 17:33 
Аватара пользователя

Сообщения: 129
Город: Харьков
Пол: Муж
Возраст: 42
Зарегистрирован:11.06.2013
Ух епть! А подседел люминий или карбон?


Вернуться к началу
shoppage  personalpage P  
 
СообщениеДобавлено: 23.09.2017 21:07 
Аватара пользователя

Сообщения: 271
Изображения: 11
Город: Харьков
Пол: Муж
Зарегистрирован:21.08.2014
Zekaz-z-z-z писал(а):
Ух епть! А подседел люминий или карбон?


Китайский карбон


Вернуться к началу
shoppage  personalpage P Персональный альбом  
 
СообщениеДобавлено: 24.09.2017 20:39 
Аватара пользователя

Сообщения: 271
Изображения: 11
Город: Харьков
Пол: Муж
Зарегистрирован:21.08.2014
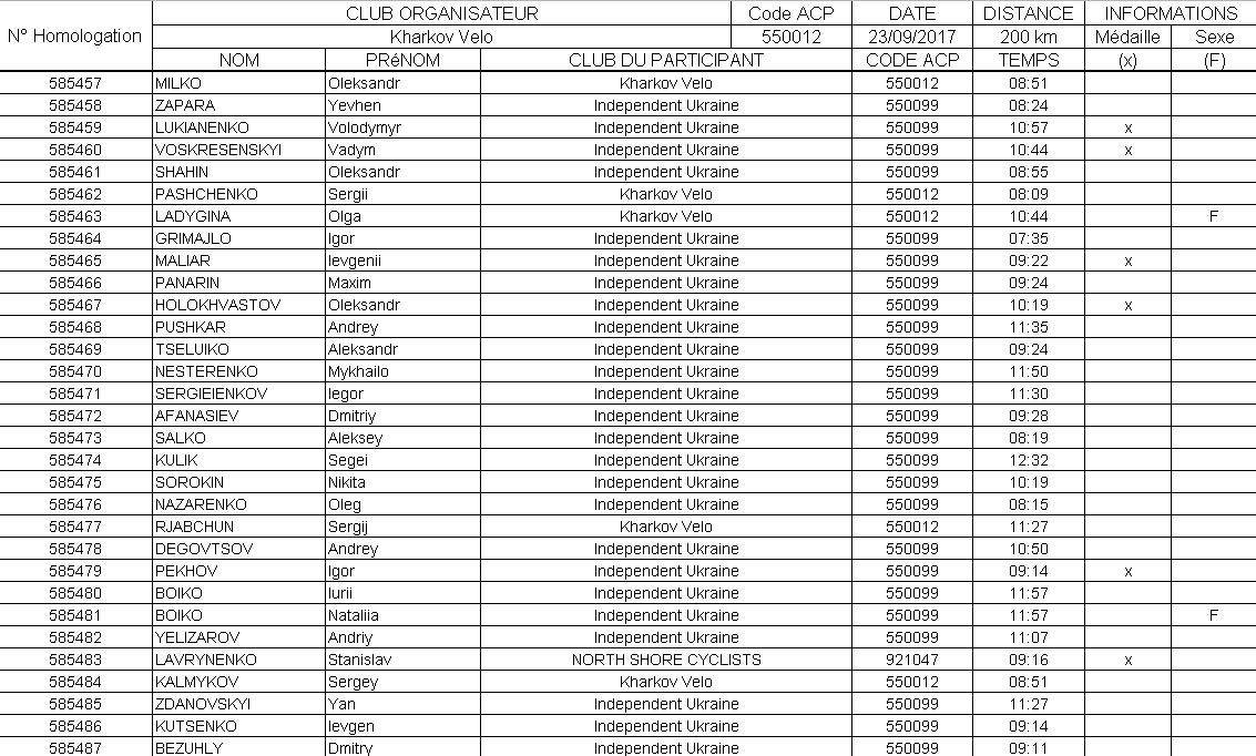
Финишный протокол


Вернуться к началу
shoppage  personalpage P Персональный альбом  
 
СообщениеДобавлено: 03.10.2017 23:02 
Аватара пользователя

Сообщения: 271
Изображения: 11
Город: Харьков
Пол: Муж
Зарегистрирован:21.08.2014
Результаты зарегистрированы в Audax Club Parisien. Марки получены. ссылка


Вложения:
untitled.png
untitled.png [ 260.02 КБ | Просмотров: 1907 ]

Вернуться к началу
shoppage  personalpage P Персональный альбом  
 
Показать сообщения за:  Поле сортировки  
Начать новую тему Ответить на тему На страницу Пред.  1, 2, 3, Bce


Вы не можете начинать темы
Вы не можете отвечать на сообщения
Вы не можете редактировать свои сообщения
Вы не можете удалять свои сообщения
Вы не можете добавлять вложения

Найти:
Перейти:  
  © Mishael 2003-2025, да, бля - ми ще живі
Наши друзья: Рыбалка в Хмельницком | Рыбалка в Полтаве
Мобильный вид

[ Time : 0.654s | 18 Queries | GZIP : On ]
Reputation System ©'